-
榴莲(Durio zibethinus Murr.)属锦葵科榴莲属热带果树。中国广东、海南在上世纪50年代就有从东南亚引种试种,但几乎未有开花结果的报道。最近几年海南榴莲能正常开花结果的报道,在国内外引起了轰动[1]。榴莲中国市场需求旺盛,中国已经成为鲜榴莲最大的进口国和消费国[2]。截至2024年底,中国榴莲进口量创下历史新高,达到156.03万吨,进口总额约为497.40亿元[3]。据2024年不完全统计,海南岛榴莲种植面积已超0.27万hm2,主要分布在三亚、乐东、陵水、保亭等市县[4-6]。
榴莲作为典型热带果树,常年生长在南亚热带地区,对气候条件要求较高,要求年平均气温22℃以上,最适空气相对湿度在75%~85%,年平均降水量1 000 mm以上等[7-10]。在干旱气候区或年份,由于空气相对湿度低、温度过高,以及强风等原因,榴莲幼树会出现枯叶或落叶现象,造成其生长停止或缓慢,开花期高温低湿也会导致榴莲花药干枯,活性降低,影响开花授粉,增加畸形果[9,11-12]。因此,明确海南榴莲幼树生长高温热害指标和分布特征,及时采取预防高温热害措施,对确保海南榴莲正常生长、提高其产量和品质具有重要意义。
每年春夏季节,海南岛都将出现大范围日最高气温≥35℃的高温天气,高温灾害是该地区主要的农业气象灾害之一[13-15]。2020年澄迈日极端最高气温高达40℃以上,高温日数高达100 d,持续时间长,澄迈永发榴莲基地大部分榴莲幼树出现叶片焦枯落叶或干死,成活较少,造成经济损失[9,11-12]。高温灾害对果树危害影响研究很多,大多采用日平均气温、日最高气温及其持续日数[16-17],或增加14时空气相对湿度和平均风速等综合指标分析高温灾害发生特征[18-19],得出了温度越高、湿度越低落花落果率越高的结论。榴莲属于新引进果树,2018年才开始在海南大面积种植[4-6],针对榴莲幼树的高温热害强度、时空变化差异研究鲜见报道。因此,明确近10年榴莲幼树高温灾害的时空演变规律,对指导榴莲企业种植选址、针对性采取应对不良气候条件措施,规避自然灾害,促进产业高质量发展具有重要现实意义。
-
气象资料:选取海南5个主要榴莲种植市县,澄迈(19.7333° N,110° E)、保亭(18.65° N,109.7° E)、乐东(18.75° N,109.167° E)、三亚(18.2489° N,109.5169° E)和陵水(18.8° N,110.367° E)2015~2024年逐日气象数据;以及2025年乐东县山荣农场(18.8364° N,109.2989° E)小气候站逐时气象数据。气象资料均来自海南省气象信息中心。
灾害资料:榴莲高温灾害历史资料主要来自海南省农业科学院果树研究所,及2025年高温天气期间赴主要榴莲种植园进行灾后调查和统计。
-
海南岛地理环境差异较大,榴莲树属于新引种种植果树,在海南岛大范围种植未满10年,榴莲树高温灾害等气象灾害观测数据和产量数据缺乏,因此采用百分位阈值法[20]来定义榴莲幼树高温灾害指标。
-
2025年4月15~24日乐东县山荣农场受到西南干热气流影响,连续多日出现最高气温≥35℃的高温天气,对该农场某榴莲种植园区的榴莲幼树生长造成一定程度的高温危害。分析此次高温过程期间的某日逐小时气象资料,可见小时温湿度变化情况(图1):小时最低气温出现在7时,最高气温出现在13~18时,均在35℃以上;小时相对湿度变化则与温度相反,小时相对湿度4~7时较大,均超过90%,而13~18时较小,均在40%以下。可见,海南高温天气过程中,高温和低湿叠加的时间,均出现在午后13~18时。因此,结合前人对果树热害的研究[16-18],选取日最高气温和14时相对湿度作为监测榴莲高温灾害的主要气象因子和时段,较为科学合理。
-
实地调研2025年4月15~25日海南岛一次高温过程期间,乐东、保亭等地区榴莲种植基地的幼树长势。由于持续11 d高温过程影响,乐东山荣某种植园区榴莲幼树叶片出现不同程度叶缘干焦,叶面积减少,甚至幼树植株枯死现象。同时查阅2020年澄迈永发榴莲种植基地记录,发现受5~8月长时间高温灾害影响,大部分榴莲幼树出现叶片焦枯落叶、枝条停止生长、枝梢干死或整株干枯死亡现象。
结合上述榴莲种植观测和调查结果,咨询相关种植户和专家,将榴莲幼树高温灾害指标分为一、二、三级,即轻度、中度、重度,对应的榴莲幼树受害症状见表1。
表 1 榴莲幼树高温灾害等级及对应受害症状
Table 1. Heat disaster and corresponding damage symptoms in young durian trees
高温灾害 Heat disaster 轻度灾害
Mild disaster中度灾害
Moderate disaster重度灾害
Severe disaster榴莲幼树在高温灾害下不同程度受害症状
Different injury symptoms of young durian trees under heat disaster生长停滞,植株叶片叶缘出现焦枯,小部分枝梢干枯。 生长接近停止,植株部分叶片出现焦枯,部分枝梢干枯。 生长停止,植株大部分叶片干枯、大部分枝梢干枯,弱树枯死。 榴莲幼树高温受害性状的表型照片
Phenotypic photos of heat disaster in young durian trees


-
根据2020年澄迈榴莲种植基地观测,发现该年份榴莲幼树高温灾害影响较为严重。冯学杰[4,9,12]等研究指出,气温高于35℃且空气湿度较低,易引起榴莲叶片焦叶甚至烧叶等症状,同时给出了榴莲种植最适宜的空气相对湿度为75%~85%。因此,统计2020年澄迈日最高气温≥35℃,不同月份高温日数、持续高温过程日数和极值情况(表2),可见,2020年高温日数总数高达100 d,分布在3~9月,其中,5、6、7月高温日数较多,极端最高气温达到40.8℃;高温天气过程的14时相对湿度均低于70%,极端最低相对湿度低至35%。2020年最长高温过程持续时间为43 d,发生在5月4日~6月15日(5日滑动平均≥35℃,下同),最高温度在36.3~40.8℃,14时相对湿度在37%~69%;次长高温过程为40 d,在6月20日~7月29日,最高温度在35.5~39.2℃,14时相对湿度在38%~58%。
表 2 2020年澄迈高温分布情况
Table 2. Distribution of high temperatures in Chengmai in 2020
时间
Times因子
Factors最长高温过程
The longest
high-
temperature
event次长高温过程
Secondary long
high-
temperature
event3月
Mar.4月
Apr.5月
May6月
Jun.7月
Jul.8月
Aug9月
Sept.高温日数
Number of high-
temperature days/d6 4 23 26 24 10 7 43 40 最高气温
Maximum
temperature/℃35.3~38.2 35.1~36.6 35.3~40.8 35.5~39.2 35.5~38.8 35.4~36.9 35.1~36.2 35.3~40.8 35.5~39.2 14时相对湿度
Relative humidity
at 14:00/%35~47 40~57 37~69 38~56 42~60 47~58 48~57 37~69 38~58 分析2020年澄迈高温过程最高气温和相对湿度分布(图2),可见,日最高温度在35.0~38.5℃占全年高温日数的89%;14时相对湿度在40%~60%的占比84%;观测数据也显示最高温度在39℃以上时,相对湿度绝大部分在40%以下,即气温越高,相对湿度越小。对两者进行线性相关回归,发现两者呈负相关关系,R为0.590,相关性达到极显著水平。
图 2 2020年澄迈气温和相对湿度分布图
Figure 2. Map of temperature and relative humidity distribution in Chengmai in 2020
澄迈2020年出现100 d高温天气过程,尤其是5~7月期间出现两次高达40 d以上的持续高温,极端最高气温高达40.8℃。高温天气通常伴随较低的空气相对湿度,均在70%以下。高温低湿对澄迈榴莲幼树种植造成了较大的危害,榴莲幼树出现叶片焦枯落叶、枝条停止生长、枝梢干死或整株干枯死亡现象。
-
通过上述初步分析结果,以高温为主,相对湿度为辅,研究榴莲幼树高温灾害。在缺乏榴莲幼树详细高温灾害和榴莲产量记录的基础上,本研究采用数学统计方法上的百分位阈值法[20],将高温灾害日等级指标轻度、中度和重度指标,对应为60分位和90分位进行指标阈值划分。步骤如下:第一步对2015~2024年全省日最高气温≥35℃气温数据进行升序排列,第二步取排序第60分位和第90分位所对应日最高气温,作为榴莲轻度灾害、中度灾害和重度高温灾害指标温度阈值。海南最近10年18个市县日最高气温百分位图(图3)显示,高温日数为7 121 d,其中第60分位对应最高气温为36.3℃、第90分位对应最高气温为37.7℃。同理,高温灾害对应的14时相对湿度,也对数据进行降序排列,取第90分位划分中度和重度指标,第90分位对应的相对湿度为42%。
图 3 海南2015~2024年18市县日最高气温百分位图
Figure 3. Percentage map of daily highest temperatures in 18 counties in Hainan from 2015-2024
参照气象行业标准《小麦干热风等级》(QX/T 82—2019)[21],构建榴莲幼树高温灾害日指标,采用日最高气温为主、14时相对湿度为辅,确定日指标如下表3。
表 3 榴莲幼树日高温灾害等级指标
Table 3. Daily heat disaster index for young durian trees
日高温灾害
Daily heat
disasters日最高气温
Daily maximum
temperature/℃14时相对湿度
Relative humidity
at 14:00/%等级
Grade轻度日
Mild days35.0≤Tm≤36.2 不限 中度日
Moderate days36.2<Tm≤37.7 ≥42 重度日
Severe days36.2<Tm≤37.7 <42 Tm>37.7 不限 -
海南岛每年3~9月均会出现多次高温灾害天气过程,因此评价某一次高温过程对榴莲幼树灾害的影响,需要构建榴莲幼树高温灾害过程指标。根据达到榴莲幼树高温灾害日等级指标,根据不同日灾害等级日数,确定高温灾害过程等级指标(表4)。
表 4 榴莲幼树高温灾害过程等级指标
Table 4. Indicators of heat disaster process in young durian trees
过程灾害
Heat disaster events高温灾害日等级天数
Number of days with heat
disaster level /d轻度日
Mild days中度日
Moderate days重度日
Severe days轻度过程
Mild events≥3 ≥1 − 中度过程
Moderate events− ≥3 ≥1 重度过程
Severe events− − ≥3 特重度过程
Extremely severe events− − ≥9 注:连续3个轻度日以上记为1个轻度过程,3个中度日以上记为1个中度过程…,3个轻度过程以上记为1个中度过程…以此类推计算。3个重度日记为1个特重度过程。 Note: A consecutive period of 3 or more mild days is equivalent to 1 mild event; a consecutive period of 3 or more moderate days is equivalent to 1 moderate event… Similarly, a consecutive period of 3 or more mild events is equivalent to 1 moderate event, and so on for calculation purposes. In addition, 9 severe days are equivalent to 1 extremely severe event. 评价一整年榴莲幼树高温灾害综合情况,则根据当年榴莲幼树高温灾害过程发生的次数和等级进行综合评价,确定榴莲幼树高温灾害年型指标(表5)。
表 5 榴莲幼树高温灾害年型指标
Table 5. Annual index of heat disaster in young durian trees
年型灾害 Annual disasters 过程高温灾害 Process-based heat disaster/times 轻度过程
Mild events中度过程
Moderate events重度过程
Severe events特重度过程
Extremely severe events轻度年型 Mild annual type ≥3 ≥1 — — 中度年型 Moderate annual type - ≥3 ≥1 — 重度年型 Severe annual type - - ≥3 ≥1 特重度年型 Extremely severe annual type - - - ≥3 注:3次轻度过程记为1个轻度年型,3次中度过程记为1个中度年型…,3个轻度年型记为1个中度年型…以此类推计算。 Note: Three mild events are equivalent to one mild annual type; three moderate events are equivalent to one moderate annual type… Similarly, three mild annual types are equivalent to one moderate annual type, and so on for calculation purposes. -
分析2025年4月中下旬一次高温过程,并根据上述表3和表4的榴莲幼树指标标准,对部分榴莲主栽区的日高温灾害和过程灾害进行划分(表6),可见2025年4月中下旬高温过程,乐东山荣出现长达11 d的高温灾害过程,其中日灾害达到重度有4 d,中度2 d,轻度5 d,过程高温灾害等级为重度灾害;澄迈出现8 d,其中重度4 d,重度3 d,过程灾害为重度灾害;保亭有3 d达到日灾害等级标准,但因为没有连续3 d及以上,因此达不到高温灾害过程指标,为无高温灾害。
表 6 2025年4月15~25日榴莲幼树高温灾害分析
Table 6. Analysis of heat disaster in young durian trees from April 15-25, 2025
日期
Date04-15 04-16 04-17 04-18 04-19 04-20 04-21 04-22 04-23 04-24 04-25 乐东山荣
Rong shan, Ledong日最高气温
Daily maximum temperature/℃35.4 36.0 35.0 36.6 35.9 37.3 37.6 37.8 36.6 37.2 35.0 14时相对湿度
Relative humidity at 14:00/%36 19 55 50 47 41 38 42 44 47 57 日高温灾害等级
Daily heat disaster Grade轻 轻 轻 中 轻 重 重 重 重 中 轻 过程灾害
Heat disaster events重度高温灾害 澄迈
Cheng mai日最高气温
Daily maximum temperature/℃32.5 33.4 36.6 37.0 36.2 37.6 38.5 39.1 38.1 37.1 31.9 14时相对湿度
Relative humidity at 14:00/%27 22 48 44 56 42 39 36 40 49 57 日高温灾害等级
Daily heat disaster Grade无 无 中 中 中 重 重 重 重 中 无 过程灾害
Heat disaster events重度高温灾害 保亭
Bao ting日最高气温
Daily maximum temperature/℃32.7 31.9 32.9 35.1 34.9 33.4 34.9 36.2 35.3 33.7 32.3 14时相对湿度
Relative humidity at 14:00/%49 47 63 62 60 61 59 45 56 65 77 日高温灾害等级
Daily heat disaster Grade无 无 无 轻 无 无 无 中 轻 无 无 过程灾害
Heat disaster events无高温灾害 经过实地调研上述3个地区榴莲种植园,大部分园区2022年开始定植,榴莲属于幼树阶段,乐东山荣某种植园区榴莲幼树叶片出现不同程度叶缘干焦、叶面积减少,甚至幼树植株枯死现象(图4),而保亭种植园则长势良好,叶片正常,无高温影响痕迹(图5)。
-
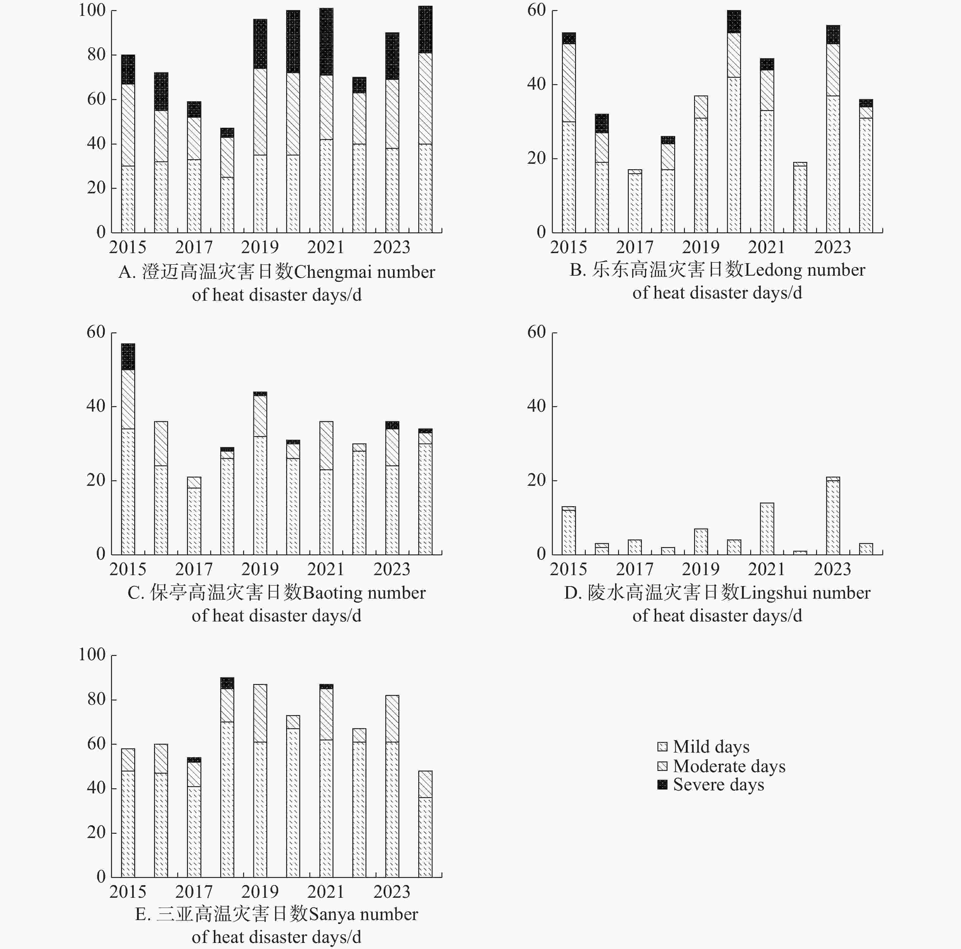
根据上述榴莲幼树日高温灾害指标,统计海南不同主栽区近10年榴莲幼树日高温灾害特征(图6),可见北部澄迈出现的日数、重度灾害日数均高于南部榴莲种植区的乐东、保亭、三亚和陵水等地。其中:,1)澄迈榴莲幼树受害日数为47~102 d,2019、2020、2021、2023、2024年重度灾害日数在21~30 d;近10年年平均受害日数为81.7 d,轻、中、重度灾害日数分别占总日数的42.8%、36.4%和20.8%。2)乐东榴莲幼树受害日数为17~60 d,重度日数在0~6 d;近10年年平均受害日数为38.4 d,轻、中、重度灾害日数分别占总日数的71.3%、21.9%和6.8%。3)保亭榴莲幼树受害日数为21~57 d,重度日数在0~7 d;近10年年平均受害日数为35.4 d,轻、中、重度灾害日数分别占总日数的74.8%、21.5%和3.7% 。4)陵水榴莲幼树受害日数为2~21 d,无重度灾害;近10年年平均受害日数为7.2 d,轻、中度灾害日数分别占总日数的95.8%和4.2%5)三亚榴莲幼树受害日数为48~90 d,其中2017、2018、2021年重度日数在2~5 d;近10年年平均受害日数为70.6 d,轻、中、重度灾害日数分别占总日数的78.5%、20.2%和1.3%。
-
根据上述榴莲幼树过程高温灾害指标,统计海南不同主栽区最近10年榴莲幼树过程高温灾害特征(图7),可见过程高温等级和次数与日高温灾害较为一致,北部澄迈均多于南部榴莲种植区的乐东、保亭、三亚和陵水等地。其中:1)澄迈榴莲幼树过程高温灾害为8~16次,除2016、2018年,其余年份均出现1~4次特重度高温灾害过程;近10年过程高温灾害年平均次数为10.7次,轻、中、重、特重度分别为3.4次、3次、2.4次和1.7次。2)乐东榴莲幼树过程高温灾害为3~9次,仅2015、2019年出现重度高温灾害过程;近10年过程高温灾害年平均次数为4.3次,轻、中、重、特重度分别为1.9次、1.6次、0.5次和0.3次。3)保亭榴莲幼树过程高温灾害为1~6次,仅2015、2020、2021年出现1次特重度高温灾害过程;近10年过程高温灾害年平均次数为5.6次,轻、中、重度分别为3.1次、2.1次和0.4次。4)陵水榴莲幼树过程高温灾害为0~4次,仅2015出现1次中度高温灾害过程,其余为轻度或无;近10年过程高温灾害年平均次数为1.1次,轻、中度分别为1次和0.1次。5)三亚榴莲幼树过程高温灾害为6~14次,仅2018年出现一次特重度高温灾害过程;近10年过程高温灾害年平均次数为10.1次,轻、中、重、特重度分别为6.2次、3.4次、0.4次和0.1次。
-
根据上述榴莲幼树年高温灾害指标,统计海南不同主栽区最近10年灾害特征(表7),可见:1)澄迈年型高温灾害除2018年为中度,其余年份均为重度~特重灾害;近10年高温灾害评价为重度偏特重度。2)乐东近10年有3年重度、5年中度、1年轻度、1年无高温灾害;年高温灾害评价为中度。3)保亭近10年有1年重度、5年中度、4年轻度;年高温灾害评价为轻度偏中度。4)陵水近10年有2年轻度,其余无高温灾害;年高温灾害评价为无高温灾害。5)三亚近10年有4年重度、6年中度灾害;年高温灾害评价为中度偏重度。
表 7 海南主栽区榴莲幼树年高温灾害等级
Table 7. Annual heat disaster of young durian trees in the main planting area of Hainan
年份Year 2015 2016 2017 2018 2019 2020 2021 2022 2023 2024 澄迈
Chengmai特重度 重度 重度 中度 特重度 特重度 重度 重度 特重度 特重度 乐东
Ledong重度 中度 无 中度 中度 重度 重度 轻度 中度 中度 保亭
Baoting重度 中度 轻度 中度 中度 轻度 中度 轻度 中度 轻度 陵水
Lingshui无 无 无 无 无 无 轻度 无 轻度 无 三亚
Sanya中度 中度 中度 重度 重度 中度 重度 中度 重度 中度 -
榴莲作为典型热带果树,原产地在东南亚热带地区,该地区属热带季风气候或热带雨林气候。一年内各月平均气温在24~28℃之间,年温差一般不超过5℃,尤其在海洋区域,通常不超过1℃。气温日变化大于年变化,日较差可达10~15℃,但日最高气温很少超过35℃,日最低气温很少低于20℃[22]。榴莲近年大规模引种至海南种植,与原产地气候条件存在一定差异[5]。海南地处热带地区北缘,长夏无冬,年平均气温高;干季、雨季明显,冬春干旱,夏秋多雨,多热带气旋;台风、暴雨、干旱等气象灾害频繁;海南岛各地年平均气温22.8~25.8℃,年平均降水量1 819.1 mm[13]。榴莲种植过程中可能遇到高温干旱、低温阴雨、大风等气象灾害的影响,限制榴莲大面积种植生产。尤其是每年3~10月,海南都会出现较长时间的高温天气过程,其中,澄迈、临高、儋州、昌江、白沙等西北部地区出现日最高气温在40℃以上,对农业造成很大影响和损害[14-15]。研究海南榴莲幼树高温灾害指标和时空分布特征,对海南榴莲种植选址、榴莲灾害防御、榴莲气象灾害保险理赔等均有较大的参考意义。
在缺乏榴莲幼树高温灾害观测资料、产量和品质等测定数据前提下,采用百分位阈值法对榴莲幼树高温灾害指标进行划分,具有一定的科学性和实用性。在现行的气候预测技术指导下,可以用于指导榴莲幼树种植管理实践。但是本研究结果也存在一定的不足,比如不同高温胁迫是如何影响榴莲幼树内在激素和养分变化,从而影响生长量、枝条、开花和挂果、产量和品质[23-24]的形成等,并没有涉及。下一步工作可以根据目前的研究成果,针对不同栽培地区,不同榴莲品种、不同生育期,进行榴莲生长量、果实品质等进行高温胁迫研究;同时也需要对高温、低湿、干旱等复合气象灾害影响进行研究。
-
1)通过分析2025年一次高温过程气温和相对湿度日变化,选取日最高气温和14时相对湿度作为监测榴莲高温灾害的主要气象因子和关键时段。
2)在缺乏榴莲受害数据的基础上,采用百分位阈值法,即取升序排序第60分位和第90分位所对应日最高气温(36.3℃和37.7℃),高温日对应的14时相对湿度数据取降序排序第90分位(42%)等指标阈值,构建榴莲幼树高温灾害日指标;根据高温灾害过程的等级和对应日数,构建榴莲幼树过程灾害指标;根据过程灾害等级和对应次数,构建榴莲幼树高温灾害年型指标。
3)海南省2015~2024年主栽区榴莲幼树高温灾害日数在7.2~81.7 d,过程高温灾害总次数在1.1~10.7次,年型在轻度-重度以上均有出现。榴莲幼树生长过程中遭遇高温灾害的概率很大。
4)最近10年,澄迈榴莲幼树高温灾害日数为47~102 d,过程高温灾害为8~16次,年型灾害为重度偏特重灾害;其次是三亚为48~90 d,过程高温灾害为6~14次,年型灾害为中度偏重灾害;第三是乐东为17~60 d,过程高温灾害为3~9次,年型灾害为中度灾害;保亭和陵水,受害日数相对较少,过程也较轻,年型灾害为无害或轻度偏中灾害。总体而言,北部榴莲种植区高温灾害重于南部,分别为澄迈>三亚>乐东>保亭>陵水。
5)经过实地调查,近年各地榴莲种植户均反映,由于夏秋季节高温,幼树均出现不同程度的热害症状。澄迈、三亚和乐东幼树受害程度均重于保亭、陵水地区,这与本研究结果相符。海南榴莲种植栽培中,建议做好高温灾害防御措施,例如建遮阳网、喷灌/喷雾系统以及间种套种其他作物,改变榴莲园区局地小气候环境,降低榴莲高温危害。
Heat disaster of young durian trees in Hainan
-
摘要: 为有效利用气候资源并建立长期有效的灾害防御体系以促进海南榴莲产业良性发展,本研究分析了高温日变化过程。选取日最高气温为主,14时相对湿度为辅作为高温灾害的气象因子。采用百分位阈值法,构建榴莲(Durio zibethinus Murr.)幼树日高温灾害、过程高温灾害和年型高温灾害等级指标。结果表明,2015~2024年间,海南主要榴莲种植区幼树受高温灾害影响的日数在7.2~81.7 d之间,过程高温灾害总次数在1.1~10.7次,年型高温灾害在轻度-重度以上均有出现。从高温总日数、重度以上灾害日数、过程总次数、重度以上过程次数、年型灾害等级等指标分析,北部榴莲种植区高温灾害重于南部种植区,分布为澄迈>三亚>乐东>保亭>陵水。海南榴莲幼树生长中遭遇高温灾害的概率很大,种植中需要重点做好高温灾害防御措施,改变榴莲园区局地小气候环境,降低榴莲高温危害。Abstract: To effectively utilize climate resources and establish a long-term effective disaster prevention system to promote the healthy development of the durian industry in Hainan, the diurnal variation process of high temperatures was analyzed. The daily maximum temperature was selected as the primary meteorological factor, supplemented by relative humidity at 14:00 as secondary indicators, to characterize high temperature disasters. The percentile threshold method was used to construct classification indices for daily high temperature disasters, process-based high temperature disasters, and annual high temperature disaster types for young durian trees. The results showed that from 2015 to 2024, the number of days affected by high temperature disasters for young durian trees in major durian cultivation areas of Hainan ranged from 7.2 to 81.7 days, that the total frequency of process-based high temperature disasters ranged from 1.1 to 10.7 times, and that annual high temperature disaster types ranged from mild to severe and above. Based on comprehensive analysis of indicators including total high temperature days, days with severe and above disasters, total frequency of disaster processes, frequency of severe and above processes, and annual disaster classification, high temperature disasters were more severe in northern durian cultivation areas than in southern areas, with the distribution pattern being in the order of Chengmai > Sanya > Ledong > Baoting > Lingshui. The probability of young durian trees encountering high temperature disasters during growth in Hainan is substantial; therefore, priority should be given to implementing high temperature disaster prevention measures in cultivation practices, modifying local microclimate conditions in durian orchards, and reducing high temperature damage to durian trees.
-
Key words:
- Durio zibethinus Murr. /
- Hainan /
- young trees /
- heat disasters /
- percentile threshold method
-
表 1 榴莲幼树高温灾害等级及对应受害症状
Table 1 Heat disaster and corresponding damage symptoms in young durian trees
高温灾害 Heat disaster 轻度灾害
Mild disaster中度灾害
Moderate disaster重度灾害
Severe disaster榴莲幼树在高温灾害下不同程度受害症状
Different injury symptoms of young durian trees under heat disaster生长停滞,植株叶片叶缘出现焦枯,小部分枝梢干枯。 生长接近停止,植株部分叶片出现焦枯,部分枝梢干枯。 生长停止,植株大部分叶片干枯、大部分枝梢干枯,弱树枯死。 榴莲幼树高温受害性状的表型照片
Phenotypic photos of heat disaster in young durian trees表 2 2020年澄迈高温分布情况
Table 2 Distribution of high temperatures in Chengmai in 2020
时间
Times因子
Factors最长高温过程
The longest
high-
temperature
event次长高温过程
Secondary long
high-
temperature
event3月
Mar.4月
Apr.5月
May6月
Jun.7月
Jul.8月
Aug9月
Sept.高温日数
Number of high-
temperature days/d6 4 23 26 24 10 7 43 40 最高气温
Maximum
temperature/℃35.3~38.2 35.1~36.6 35.3~40.8 35.5~39.2 35.5~38.8 35.4~36.9 35.1~36.2 35.3~40.8 35.5~39.2 14时相对湿度
Relative humidity
at 14:00/%35~47 40~57 37~69 38~56 42~60 47~58 48~57 37~69 38~58 表 3 榴莲幼树日高温灾害等级指标
Table 3 Daily heat disaster index for young durian trees
日高温灾害
Daily heat
disasters日最高气温
Daily maximum
temperature/℃14时相对湿度
Relative humidity
at 14:00/%等级
Grade轻度日
Mild days35.0≤Tm≤36.2 不限 中度日
Moderate days36.2<Tm≤37.7 ≥42 重度日
Severe days36.2<Tm≤37.7 <42 Tm>37.7 不限 表 4 榴莲幼树高温灾害过程等级指标
Table 4 Indicators of heat disaster process in young durian trees
过程灾害
Heat disaster events高温灾害日等级天数
Number of days with heat
disaster level /d轻度日
Mild days中度日
Moderate days重度日
Severe days轻度过程
Mild events≥3 ≥1 − 中度过程
Moderate events− ≥3 ≥1 重度过程
Severe events− − ≥3 特重度过程
Extremely severe events− − ≥9 注:连续3个轻度日以上记为1个轻度过程,3个中度日以上记为1个中度过程…,3个轻度过程以上记为1个中度过程…以此类推计算。3个重度日记为1个特重度过程。 Note: A consecutive period of 3 or more mild days is equivalent to 1 mild event; a consecutive period of 3 or more moderate days is equivalent to 1 moderate event… Similarly, a consecutive period of 3 or more mild events is equivalent to 1 moderate event, and so on for calculation purposes. In addition, 9 severe days are equivalent to 1 extremely severe event. 表 5 榴莲幼树高温灾害年型指标
Table 5 Annual index of heat disaster in young durian trees
年型灾害 Annual disasters 过程高温灾害 Process-based heat disaster/times 轻度过程
Mild events中度过程
Moderate events重度过程
Severe events特重度过程
Extremely severe events轻度年型 Mild annual type ≥3 ≥1 — — 中度年型 Moderate annual type - ≥3 ≥1 — 重度年型 Severe annual type - - ≥3 ≥1 特重度年型 Extremely severe annual type - - - ≥3 注:3次轻度过程记为1个轻度年型,3次中度过程记为1个中度年型…,3个轻度年型记为1个中度年型…以此类推计算。 Note: Three mild events are equivalent to one mild annual type; three moderate events are equivalent to one moderate annual type… Similarly, three mild annual types are equivalent to one moderate annual type, and so on for calculation purposes. 表 6 2025年4月15~25日榴莲幼树高温灾害分析
Table 6 Analysis of heat disaster in young durian trees from April 15-25, 2025
日期
Date04-15 04-16 04-17 04-18 04-19 04-20 04-21 04-22 04-23 04-24 04-25 乐东山荣
Rong shan, Ledong日最高气温
Daily maximum temperature/℃35.4 36.0 35.0 36.6 35.9 37.3 37.6 37.8 36.6 37.2 35.0 14时相对湿度
Relative humidity at 14:00/%36 19 55 50 47 41 38 42 44 47 57 日高温灾害等级
Daily heat disaster Grade轻 轻 轻 中 轻 重 重 重 重 中 轻 过程灾害
Heat disaster events重度高温灾害 澄迈
Cheng mai日最高气温
Daily maximum temperature/℃32.5 33.4 36.6 37.0 36.2 37.6 38.5 39.1 38.1 37.1 31.9 14时相对湿度
Relative humidity at 14:00/%27 22 48 44 56 42 39 36 40 49 57 日高温灾害等级
Daily heat disaster Grade无 无 中 中 中 重 重 重 重 中 无 过程灾害
Heat disaster events重度高温灾害 保亭
Bao ting日最高气温
Daily maximum temperature/℃32.7 31.9 32.9 35.1 34.9 33.4 34.9 36.2 35.3 33.7 32.3 14时相对湿度
Relative humidity at 14:00/%49 47 63 62 60 61 59 45 56 65 77 日高温灾害等级
Daily heat disaster Grade无 无 无 轻 无 无 无 中 轻 无 无 过程灾害
Heat disaster events无高温灾害 表 7 海南主栽区榴莲幼树年高温灾害等级
Table 7 Annual heat disaster of young durian trees in the main planting area of Hainan
年份Year 2015 2016 2017 2018 2019 2020 2021 2022 2023 2024 澄迈
Chengmai特重度 重度 重度 中度 特重度 特重度 重度 重度 特重度 特重度 乐东
Ledong重度 中度 无 中度 中度 重度 重度 轻度 中度 中度 保亭
Baoting重度 中度 轻度 中度 中度 轻度 中度 轻度 中度 轻度 陵水
Lingshui无 无 无 无 无 无 轻度 无 轻度 无 三亚
Sanya中度 中度 中度 重度 重度 中度 重度 中度 重度 中度 -
[1] 赵玉山. 海南: 首批国产榴莲在三亚上市[J]. 中国果业信息, 2024, 41(1): 59−60. https://doi.org/10.3969/j.issn.1673-1514.2024.01.059 doi: 10.3969/j.issn.1673-1514.2024.01.059 [2] 辛曙丽, 刘永华, 陈庆河. 中国榴梿产业发展现状·研究进展及展望[J]. 安徽农业科学, 2025, 53(24): 21−26. https://doi.org/10.3969/j.issn.0517-6611.2025.24.004 doi: 10.3969/j.issn.0517-6611.2025.24.004 [3] https://news.cnr.cn/native/gd/20250702/t20250702_527240299.shtml.(查阅网上资料,请补充完整文献内容) [4] 冯学杰, 华敏, 郭利军, 等. 海南榴莲产业的培育对策与发展建议[J]. 中国热带农业, 2019(6): 12−14. https://doi.org/10.3969/j.issn.1673-0658.2019.06.005 doi: 10.3969/j.issn.1673-0658.2019.06.005 [5] 张海东, 汪全伟, 吴伟怀, 等. 海南榴莲产业发展对策[J]. 热带农业工程, 2024, 48(5): 40−42. https://doi.org/10.16720/j.cnki.tcyj.2025.268 doi: 10.16720/j.cnki.tcyj.2025.268 [6] 来泽森, 荣渝虹, 李紫玉, 等. 国内榴莲产业发展现状、挑战与建议[J]. 热带农业科技, 2025, 48(3): 27−31. https://doi.org/10.16005/j.cnki.tast.20250212 doi: 10.16005/j.cnki.tast.20250212 [7] Sangpong L, Khaksar G, Pinsorn P, et al. Assessing dynamic changes of taste-related primary metabolism during ripening of durian pulp using metabolomic and transcriptomic analyses [J]. Frontiers in Plant Science, 2021, 12: 687799. https://doi.org/10.3389/FPLS.2021.687799 doi: 10.3389/FPLS.2021.687799 [8] 乔阳, 邓会栋, 郭利军, 等. 环境因子对海南主栽榴莲品种幼树生长的影响[J]. 中国果树, 2025(2): 84−91. https://doi.org/10.16626/j.cnki.issn1000-8047.2025.02.012 doi: 10.16626/j.cnki.issn1000-8047.2025.02.012 [9] 冯学杰, 郭利军, 邓会栋, 等. 槟榔园套种榴莲管理技术[J]. 中国果树, 2023(5): 120−122. https://doi.org/10.16626/j.cnki.issn1000-8047.2023.05.023 doi: 10.16626/j.cnki.issn1000-8047.2023.05.023 [10] 何红照, 周兆禧, 李新国, 等. 低温胁迫下不同品种榴莲幼苗叶片解剖结构及光合特性分析[J/OL]. 中国南方果树. (2025-02-28). https://doi.org/10.13938/j.issn.1007-1431.20240623.(查阅网上资料,请补充引用日期) [11] 邓会栋, 郭利军, 华敏, 等. 不同种植模式对海南榴莲幼树生长的影响[J]. 中国热带农业, 2023(1): 56−61. https://doi.org/10.3969/j.issn.1673-0658.2023.01.008 doi: 10.3969/j.issn.1673-0658.2023.01.008 [12] 冯学杰, 罗志文, 郭利军, 等. 榴莲幼树栽培关键技术[J]. 中国热带农业, 2022(5): 77−80,76. https://doi.org/10.3969/j.issn.1673-0658.2022.05.013 doi: 10.3969/j.issn.1673-0658.2022.05.013 [13] 王春乙. 海南气候[M]. 北京: 气象出版社, 2014: 200. [14] 陈小敏, 李伟光, 梁彩红, 等. 海南岛主要农业气象灾害特征及防御措施分析[J]. 热带生物学报, 2022, 13(4): 416−421. https://doi.org/10.15886/j.cnki.rdswxb.2022.04.014 doi: 10.15886/j.cnki.rdswxb.2022.04.014 [15] 邢彩盈, 张京红, 吴胜安. 近50年海南岛高温日数和热浪的气候特征[J]. 中国农学通报, 2017, 33(22): 107−112. https://doi.org/10.11924/j.issn.1000-6850.casb16070015 doi: 10.11924/j.issn.1000-6850.casb16070015 [16] 刘云鹏. 长江中下游气候变化与柑桔花期高温热害[J]. 中国南方果树, 1997, 26(1): 25. https://doi.org/10.13938/j.issn.1007-1431.1997.01.015 doi: 10.13938/j.issn.1007-1431.1997.01.015 [17] 谢远玉, 刘云香, 黄莹. 江西脐橙高温低湿灾害气候特征及原因分析[J]. 中国农学通报, 2016, 32(30): 144−150. https://doi.org/10.11924/j.issn.1000-6850.casb16050124 doi: 10.11924/j.issn.1000-6850.casb16050124 [18] 廖红玲, 黄伟, 廖书红, 等. 近30a龙南脐橙高温低湿影响期的气候变化特征[J]. 农业与技术, 2013, 33(12): 116−117. https://doi.org/10.3969/j.issn.1671-962X.2013.12.092 doi: 10.3969/j.issn.1671-962X.2013.12.092 [19] 何寿仁. 江西南丰县南丰蜜桔主要气象灾害变化趋势[J]. 中国南方果树, 2013, 42(6): 42−45. https://doi.org/10.13938/j.issn.1007-1431.2013.06.004 doi: 10.13938/j.issn.1007-1431.2013.06.004 [20] 张秋锦, 黄一民, 郝丽婷, 等. 基于百分位阈值法的洞庭湖流域高温热浪时空特征[J]. 气象与环境学报, 2025, 41(1): 66−73. https://doi.org/10.3969/j.issn.1673-503X.2025.01.008 doi: 10.3969/j.issn.1673-503X.2025.01.008 [21] 中国气象局. QX/T 82—2019 小麦干热风灾害等级[S]. 北京: 气象出版社, 2019. [22] 周淑贞. 气象学与气候学[M]. 3版. 北京: 高等教育出版社, 1997: 210. [23] 朱振忠, 周兆禧, 陈妹姑, 等. 榴莲果实品质与矿质元素的灰色关联度和通径分析[J]. 中国南方果树, 2024, 53(6): 76−82. https://doi.org/10.13938/j.issn.1007-1431.20230637 doi: 10.13938/j.issn.1007-1431.20230637 [24] 吴晓慧, 邓会栋, 李斯宇, 等. 榴莲果实主要成分及分子标记研究进展[J]. 热带农业科学, 2023, 43(4): 22−28. https://doi.org/10.12008/j.issn.1009-2196.2023.04.005 doi: 10.12008/j.issn.1009-2196.2023.04.005 -
点击查看大图
计量
- 文章访问数: 139
- HTML全文浏览量: 86
- 被引次数: 0
下载: