-
海南热带雨林国家公园位于全球生物多样性热点地区,具有丰富复杂的热带雨林生态系统[1-2] 。热带雨林生态系统结构复杂,植被垂直分层现象显著,包括乔木层、灌木层、草本及大量藤本,共同构成一个多维度的立体生境,表现出极高的能量转换和物质循环能力。热带雨林在调节气候、涵养水源与保持水土、生物多样性维持等方面发挥着不可替代的生态功能[2-4]。海南热带雨林国家公园,特别是位于中心位置的五指山、鹦哥岭和黎母山形成的三角区域是海南3大河流南渡江、昌化河和万泉河的发源地和最重要的集水区[2-4],被称为海南岛的“三江源”[5]。因此,这一区域的生态安全和环境质量是海南热带雨林国家公园保护与发展的重点区域。
在海南热带雨林国家公园规划建设之前,海南中线高速公路G9811就已于2018年9月全线贯通。该高速公路在海南热带雨林国家公园区域里程约50 km,并6次穿越昌化江。在道路建造阶段,虽已采取了道路选址和竣工后的植被恢复等方面相应的环保措施[5-6],但高速公路带来的尾气排放、轮胎碎屑、微生境改变等仍可能对局域生态环境质量带来长期的潜在压力[5, 7-8]。一般来说,超过10年的高速公路交通会导致可检测到的重金属污染[9-10]。短时间尺度上,交通造成的污染物的累积过程尚不清楚。目前,中线高速公路日通车量约10 000辆。汽车行驶时汽油燃烧、尾气排放、刹车片及轮胎磨损等会产生气体污染物和重金属颗粒等污染物可能通过大气沉降或道路径流进入周边环境。尤其是降雨强度大的雨季(5—10月),雨水冲刷直接形成含有污染物的道路径流,直接流入周边土壤或昌化江,可能会在中长期时间尺度产生潜在影响,影响到海南热带雨林国家公园的生态安全和环境质量。因此,本研究分析了海南热带雨林国家公园高速公路穿越段两侧土壤重金属空间分布格局,并解析污染源与生态风险,旨在评估海南热带雨林国家公园高速公路穿越段的土壤重金属污染程度和潜在生态风险及其主要来源,探索有效的保护和修复策略。
-
海南热带雨林国家公园属热带季风气候,年平均气温22.5~26.0℃,年平均降雨量达2 700 mm,雨季(5—10月)和旱季(11—翌年4月)分明[11]。高速公路穿越段海拔相对较低,土壤类型以砖红壤和赤红壤为主;代表性植被类型包含热带雨林次生林、季雨林次生林等自然植被以及橡胶林、槟榔林等人工林,同时,还分布有少量水田耕地与水域植被[12]。
为评估高速公路穿越段对海南热带雨林国家公园土壤环境的潜在影响,本研究在海南热带雨林国家公园高速公路穿越段内,沿昌化江上游至下游方向,选取了三个具有不同工程与生态特征的典型路段作为研究地点,即什运乡(ZY,109°36′14.3″E,18°59′45.6″N)、毛阳镇(MY,108°28′40.8″E,118°56′6″N)和番阳镇(FY,105°25′4.8″E,15°52′58.8″N)。3个采样点均临近昌化江岸,土壤质地以砂质土为主。为避免植被和不同树种的可能影响,土壤采样点选择无植被覆盖的裸露地点。
什运乡采样点位于高速公路下方位置,比路基低2 m,断面50 m范围内多为荒地,部分区域开始种植槟榔。毛阳镇采样断面位于高架桥下方,与路基垂直距离约4 m,临近昌化江,多沙质土,植被状况较好,代表了临近昌化江的高架桥段。番阳镇采样断面位于高架桥下方,与路基垂直距离约6 m,周边多为禾本科植物,代表了植被覆盖单一的远离水系的高架桥段。3个采样断面沿昌化江流向从上游到下游分别相距约10 km 。
-
2022年10月中旬(旱季),选择高速公路穿越段两侧裸露地表进行表层土壤(深5~10 cm;去除表面裸露土层)的采集。在垂直于高速公路的方向上,根据地势高低和昌化江流向,将两侧分别界定为上游(S)和下游(X)。在每个样地内设置7个采样点,在高速公路中轴线两侧的上游(S)和下游(X)方向,分别距路0、10、50、100 m的位置。对照样地选自距道路100 m外,植被生长良好的林地。为避免采样误差,在各样点平行于公路方向按照10 m间距设置重复,每个距离样点共设置3个重复。在各重复样点处,利用“梅花形”取样法,选择5个1 m2的土样采集。取0~10 cm土层处的土壤混合均匀,用四分法舍弃多余样品,确保每个采集单元500 g左右样品,带回实验室。
-
由于Cr、Ni、Pb、Cu和Zn主要来源于交通排放,且根据海南省地方标准《土壤环境背景值 DB46/T 687—2025》[13],海南岛土壤Cd、As、Hg背景值较低,因此,本研究选取Cr、Ni、Pb、Cu和Zn这5种重金属进行测定,研究高速公路对土壤重金属含量的影响。
根据《土壤环境监测技术规范 HJ/T166—2004》[14]相关要求测定土壤重金属Cr、Ni、Pb、Cu和Zn的含量。采集的土壤样品在阴凉通风处风干1 d后,经物理粉碎,用40目筛去除石块和大颗粒土粒,然后用“四分法”反复混匀土样,以保障待测样品均匀。采用石墨炉原子吸收分光光度法[15](GB/T17141-1997)来测定Cr和Pb含量,采用火焰原子吸收分光光度法[16]测定Ni、Cu和Zn的含量。
-
1)地累积指数
地累积指数(Geo-accumulation index, Igeo)是考虑了自然因素和人类活动的定量评价重金属污染的方法[17]。计算公式如下:
式中,Cn为重金属的实测含量;Bn为对应的重金属背景值;K为修正系数,一般为1.5。地累积指数对应的污染程度分为7级[9](表1)。地球化学背景值参考文献[13],沉积岩母质相关数据:Cr = 48.90 mg·kg−1,Ni = 10.30 mg·kg−1,Pb = 28.40 mg·kg−1,Cu = 13.1 0 mg·kg−1,Zn = 50.60 mg·kg−1,Cd = 0.10 mg·kg−1。
等级
Class地累积指数
Igeo污染程度
Contamination categories0 Igeo ≤ 0 无污染 Unpolluted 1 0 < Igeo ≤ 1 无污染-中度污染
Unpolluted to moderately polluted2 1 < Igeo ≤ 2 中度污染 Moderately contaminated 3 2 < Igeo ≤ 3 中度污染-强污染
Moderately to strongly polluted4 3 < Igeo ≤ 4 强污染 Strongly polluted 5 4 < Igeo ≤ 5 强污染-极严重污染
Strongly to extremely polluted6 Igeo > 5 极严重污染 Extremely polluted Table 1. Grades on the basis of Igeo.
2)潜在生态风险指数
潜在生态风险指数(Potential ecological risk index, RI)考虑了不同重金属的复合效应和生态毒性[18],公式如下:
式中,
$ E_{r}^{i} $ 为单元素风险指数,Ci和$ C_{n}^{i} $ 分别为重金属的实测值和背景值。$ T_{r}^{i} $ 为重金属生物毒性响应系数:Cr = 2,Ni = 5,Pb = 5,Cu = 5和Zn = 1。背景值使用海南省地方标准《土壤环境背景值 DB46/T 687—2025》[13]。$ E_{r}^{i} $ 和RI的风险分级见表2。等级
Class单元素风险
指数 Ei潜在生态风险
指数 RI生态风险
Ecological risk grades0 Ei ≤ 40 RI < 90 低 Low 1 40 ≤ Ei < 80 90 ≤ RI < 180 中等 Moderate 2 80 ≤ Ei < 160 180 ≤ RI < 360 较高 Higher 3 160 ≤ Ei < 320 360 ≤ RI < 720 高 High 4 Ei ≥ 320 RI ≥ 720 极高
Extremely highTable 2. Potential ecological risk based on Ei and RI
-
公路源重金属的来源分析常采用相关分析法、主成分分析法(Principal Component Analysis, PCA)、聚类分析法(Cluster Analysis, CA)等[19]、正交矩阵因子分解法(Positive matrix factorization, PMF)进行判定[10]。其中,相关性分析是通过计算重金属两两之间的皮尔逊相关系数来初步判断其来源的同源性。即如果两种重金属之间的置信水平小于0.05,则表明它们可能具有相同的来源;反之,则意味着来源不同。PCA是一种通过降维技术将多个存在相关性的重金属变量综合为少数几个相互独立的主成分的统计方法。CA是一种将来源相同的重金属在树状图上自动划分到同一组的方法。PMF模型使用最小二乘方法,能同时确定污染源及其贡献率,且不需要测定源的成分。可以直接与原始数据矩阵作比较,分解矩阵中元素非负,易于理解分析结果,还可以利用不确定性对数据质量进行优化[20]。
-
使用SPSS 22.0对24个土壤样品的重金属进行频率分布和正态性检验,确定土壤重金属含量及点位超标率。采用ANOVA和Duncan检验确定高速公路两侧不同距离的重金属空间分布。使用Origin 2022进行相关分析和主成分分析(PCA),然后使用Kaiser-Meyer-Olkin抽样充分性测量(KMO)和Bartlett球形检验来测试PCA的有效性[21]。
-
从表3可知,什运乡的土壤重金属Cr、Ni、Pb、Cu和Zn的范围分别为42~78、3~10、8-20 mg·kg−1、2.9~7.6、21~41 mg·kg−1。与海南省的土壤背景值相比,Cr的采样点位超标率达100%,表明重金属Cr存在一定程度上的积累。Ni、Pb、Cu和Zn的点位超标率分别为29.17%、0、0、和0。
样地 Plots 指标 Elements Cr Ni Pb Cu Zn 什运乡 变化范围 /(mg·kg−1) 42.0~78.0 3.0~10.0 8.0~20.0 2.9~7.6 21.0~41.0 点位超标率/% 100.00 29.17 0 0 0 毛阳镇 变化范围 /(mg·kg−1) 24.8~66.4 8.0~20.0 6.0~21.0 2.7~11.6 23.0~102.0 点位超标率/% 83.33 87.5 0 12.5 16.67 番阳镇 变化范围 /(mg·kg−1) 12.0~42.0 4.0~13.0 7.0~25.0 3.5~10.9 19.0~97.0 点位超标率/% 42.67 70.83 0 25.00 50.00 海南省土壤背景值 26.57 6.38 26.44 7.72 47.10 Table 3. Soil heavy metal contents on both sides of the expressway crossing section
毛阳镇重金属Cr、Ni、Pb、Cu和Zn的范围分别为24.8~66.4、8.0~20.0、6.0~21.0、2.7~11.6、23.0~102.0 mg·kg−1。与海南省的土壤背景值相比,Cr和Ni的点位超标率分别为83.33%和87.5%,其他重金属含量无明显超标现象。
番阳镇重金属Cr、Ni、Pb、Cu和Zn的范围分别为12.0~42.0、4.0~13.0、7.0~25.0、3.5~10.9、19.0~97.0 mg·kg−1,其点位超标率分别为42.67%、70.83%、0、25.00%和50.00%。
-
从重金属分布来看,什运乡附近高速公路两侧Cr土壤重金属含量距高速公路两侧由近及远先升高后降低,峰值出现在距高速公路两侧10 m处,分别为70.33 mg·kg−1和74 mg·kg−1,均高于对照样地。Ni、Cu和Zn含量与Cr变化趋势一致,Pb含量距高速公路两侧由近及远先降低后升高再降低,高值出现在距高速公路上游50 m处,含量为18.33 mg·kg−1(图1-a)。
毛阳镇附近高速公路两侧Cr土壤重金属含量变化趋势不一致,在上游距高速公路由近及远先升高后降低,在下游距高速公路由近及远持续降低,峰值出现在上游距高速公路10 m处,为61.67 mg·kg-1,均高于对照样地。高速公路0 m处Ni和Pb含量分别为23.67 mg·kg-1和18.33 mg·kg-1,显著高于其他距离采样点,Cu含量低于其他重金属,峰值出现在高速公路0 m处,Zn含量距高速公路两侧由近及远,先降低后升高再降低,峰值出现在距高速公路上游0 m处,含量为94.33 mg·kg-1(图1-b)。
番阳镇附近高速公路两侧土壤重金属Cr和Ni含量距高速公路两侧由近及远先升高后降低,峰值出现在距高速公路上、下游10 m处,分别为35 mg·kg-1和44 mg·kg-1,11 mg·kg-1和11 mg·kg-1,均高于对照样地。Pb含量变化趋势与Cr和Ni一致,但峰值出现在昌化江下游距高速公路50 m处,含量为26.67 mg·kg-1。Cu含量变化较小,Zn含量距高速公路两侧由近及远,先降低后升高再降低,峰值出现在距高速公路下游50 m处,含量为92 mg·kg-1(图1-c)。
-
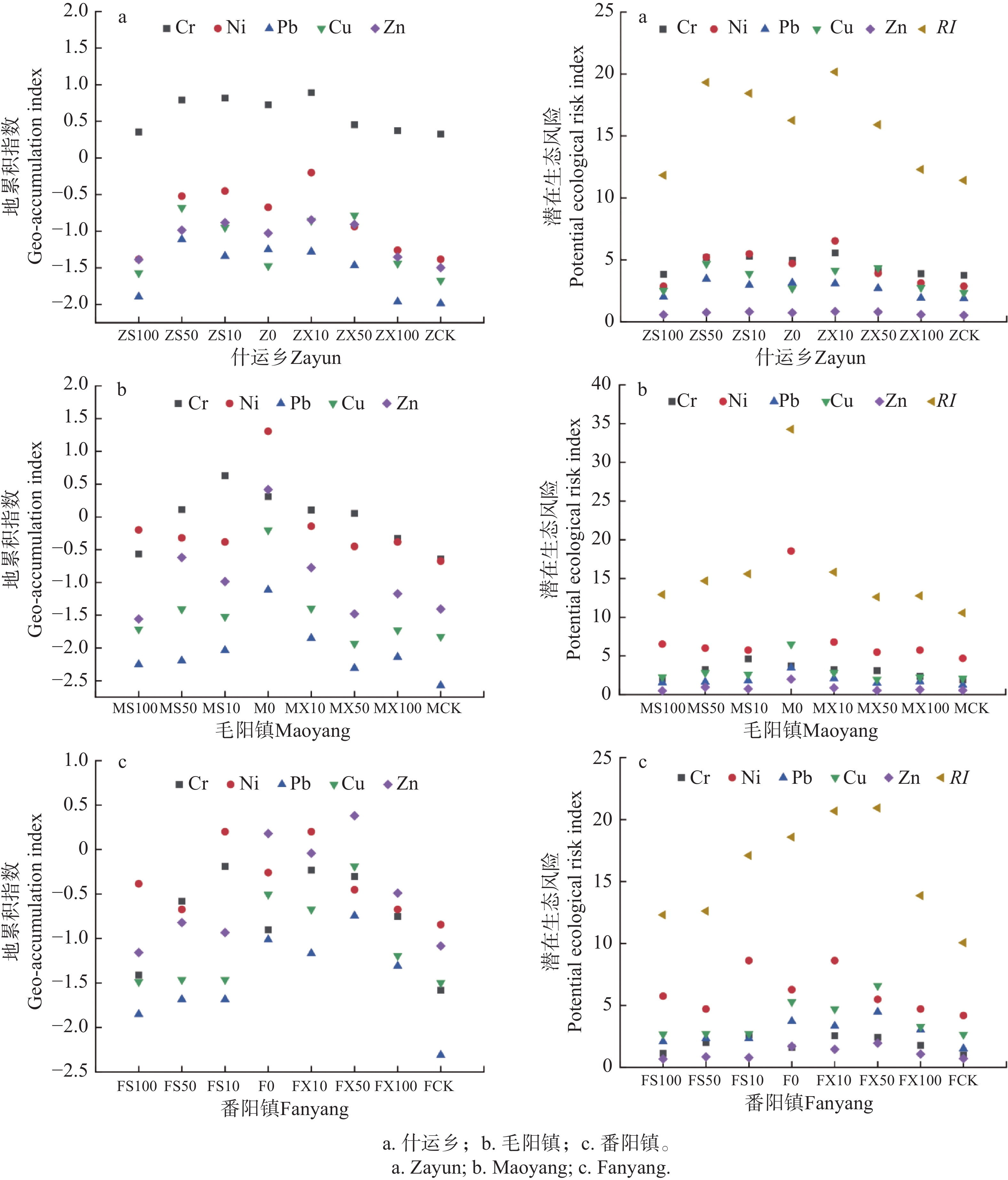
从图2可知,什运乡高速公路两侧土壤Cr的地累积指数(Igeo)范围为0.33~0.89,处于无污染到中度污染的状态,Cr地累积指数峰值分布于什运乡下游10 m的小样点。Ni、Pb、Cu和Zn地累积指数均低于0,目前处于未污染的环境()。高速公路穿越段土壤重金属距道路由近到远表现出逐渐降低和先增加后降低的变化趋势。
毛阳镇Cr地累积指数范围为-0.64~0.63,除距高速公路两侧100 m及对照样地的地累积指数低于0,处于无污染状态外,其他采样点均高于0,处于无污染到中度污染的状态,峰值(Igeo = 0.63)分布在高速公路上游10 m的样点。距高速公路0 m处的土壤重金属Ni的地累积指数为1.31,属于中度污染状态,距高速公路0 m处的Zn地累积指数为0.42,处于无污染到中度污染的状态,除此之外,其他采样点的Ni、和Zn以及高速公路穿越段Pb和Cu的地累积指数均低于0,处于无污染的状态。
番阳镇距高速公路上游和下游10 m样点的土壤重金属Ni和距高速公路下游0 m的处的Zn的地累积指数均高于0,土壤处于无污染到中度污染的状态。其他采样点的重金属地累积指数均低于0,但空间格局上表现为距道路由近到远逐渐降低和先增加后降低的变化趋势,地累积指数主要出现在距高速公路两侧10 m范围内。
-
什运乡高速公路两侧土壤重金属的单元素生态风险指数Ei均低于40,潜在生态风险指数(RI)介于11.83和20.17之间,明显低于90,高速公路穿越段土壤潜在生态风险低(图2)。Cr、Ni、Pb、Cu和Zn的单元素生态风险指数Ei值均高于对照样地,且峰值多出现在高速公路正下方和距高速公路10 m的小样点,潜在生态风险指数峰值出现在高速公路下游10 m处(RI = 20.17)。
毛阳镇采样点的高速公路两侧土壤重金属的单元素生态风险指数Ei<40,潜在生态风险指数RI<90,穿越段附近土壤生态风险低。毛阳镇土壤重金属生态风险空间分布格局和什运乡一致,但潜在生态风险指数峰值出现在高速公路0 m位置(RI = 34.26)。
番阳镇采样点高速公路两侧土壤重金属单元素生态风险指数和潜在生态风险指数均较低,表明该区域的土壤生态风险低。Cr、Ni、Pb、Cu和Zn的单元素生态风险指数和潜在生态风险指数均高于对照样地,其中,Cr和Ni的单元素生态风险指数峰值出现在高速公路10 m处,Pb、Cu和Zn的单元素生态风险指数峰值出现在高速公路50 m处(图2)。
-
对高速公路两侧土壤重金属做相关性分析结果表明,在0.05的置信水平上,土壤中Cr与Pb含量呈正相关,但相关系数较小,为0.24。Ni与Pb、Cu、Zn浓度呈正相关,相关性系数分别为0.29,0.34和0.48。Pb、Cu、Zn两两之间具有显著的相关性,相关系数分别为0.82,0.72和0.73,说明这3种金属具有相同的来源(P<0.05,图3)。
-
主成分分析结果(表4)表明,海南热带雨林国家公园高速公路穿越段土壤重金属主要受两个主成分影响,特征值分别为3.041、1.099,累积提取了总方差的82.814%。主成分1(PC1)占总方差的60.826%,表现出Cu(0.546)、Zn(0.537)、Pb(0.500)、Ni(0.403)占较高的正载荷;主成分2(PC2)的Cr(0.94)占高载荷,解释了总方差的21.988%。
重金属 heavy metals PC1 PC2 Cr 0.023 0.936 Ni 0.403 −0.112 Pb 0.500 0.216 Cu 0.546 0.084 Zn 0.537 −0.241 特征值 Eigenvalue 3.041 1.099 方差贡献率 Percentage of variance(%) 60.826 21.988 累积方差贡献率 Cumulative(%) 60.826 82.814 Table 4. Load matrix of main components of soil heavy metals
-
PMF分析得出高速公路穿越段土壤重金属有两个来源。其中,Cr主要由交通源贡献,占重金属组分的89.5%,Pb和Zn主要由土壤自然源贡献,分别占重金属的57.2%、79.8%(图4)。
-
2000—2019年,海南热带雨林国家公园的道路增加2,134.6 km,其中高速公路新增13.6 km,高速公路总里程达50 km[1,22]。高速公路对路边土壤重金属的分布起到了关键作用,有助于探究交通造成的污染物的累积过程,是监测高速公路是否会对国家公园生态环境造成污染的基础数据。本研究发现,什运乡和毛阳镇附近土壤Cr、番阳镇采样断面Ni和Zn含量高于海南省土壤背景值,位于高速公路10 m范围内的土壤存在无污染向中度污染的过度状态,高速公路穿越段土壤环境潜在生态风险低。土壤Cd含量高于海南省土壤背景值,且什运乡的Cd处于高变异状态(CV = 64%),番阳镇的Cd处于中等变异(CV = 38%)。地累积指数和潜在生态风险指数显示,高速公路沿线土壤呈现中度污染和中等风险水平,需要持续关注道路对国家公园的影响。
海南热带雨林国家公园Cr、Ni、Pb、Cu和Zn含量在10 m范围内整体高于对照样地,且距公路由近及远逐渐减小或先增大后减小,高速公路附近污染程度与潜在生态危害高于其他区域,这与吴挺勋[22]的研究结果一致,表明高速公路等大型道路可能会加剧路域土壤中重金属Cr、Cd、Pb、Cu和Zn的累积[23-24]。土壤中Cd、Pb、Cu和Zn的浓度随着距离的增加而降低[25],高速公路下方和距高速公路10 m范围内土壤重金属含量高,可能受道路径流影响[26]。部分土壤重金属峰值出现在50 m位置,比如什运乡的Pb,番阳镇的Zn等,主要在于路域土壤中重金属积累的因素比较复杂,道路距离、路龄、风向、风速、降雨量、土壤和人类活动都会影响路域土壤重金属的分布格局,并且部分重金属只分布在道路周边,而其他重金属可以通过水或风运输到离道路更远的区域[27]。
-
土壤重金属累积影响因素比较复杂,除成土母质沉淀积累外,人类活动也会影响土壤重金属含[28-29]。因此,厘清土壤重金属来源还要综合当地实际情况实际进行综合考虑。多数研究者认为,Pb、Cd、Cu和Zn的污染来源主要是交通,如汽车尾气排放、橡胶轮胎磨损等[21,30],部分重金属受到农业活动的影响[21]。土壤重金属Mn、Ni和Cr主要由自然源产生[10]。结合相关性分析、主成分分析(PCA)和正交矩阵因子分解模型(PMF)发现,海南热带雨林国家公园高速公路穿越段土壤重金属Cr主要由交通源贡献,距道路10 m范围内Cr累积较多,处于无污染到中度污染的过渡环境。这可能是因为中线高速公路开通运行时间较短,使得高速公路穿越段两侧土壤重金属的积累较低。仝致琦(2012)[31]研究河南省主要公路的土壤重金属来源时,也发现路域土壤重金属Cr受交通影响。道路两侧土壤重金属Pb、Cu和Zn含量低于背景值,呈显著正相关,表明Pb、Cu和Zn含量与自然来源有关。土壤重金属Ni介于污染和无污染之间,被称为混合污染源重金属[32],这类重金属即使受到交通等人类活动的影响,累积量也可能不明显,因此不易分辨。
-
道路网络在改变区域空间结构和生态环境方面发挥着关键作用。高速公路建设与运营产生的重金属等污染物,将给自然环境和生态系统带来威胁,并不断积累扩大[33-35]。海南热带雨林国家公园是我国目前唯一分布有高速公路的国家公园,且高速公路穿越段多次跨越昌化江,需加强措施防控土壤重金属的累积与迁移,避免影响海南热带雨林国家公园生态安全。
路域植被能够降低道路两侧风速,使道路粉尘和汽车尾气等在道路附近累积,且林冠层能吸附部分粉尘颗粒,部分植物对重金属具有超富集作用,草本植物和枯枝落叶层能有效拦截地表径流,减少重金属污染物进入土壤,因此改善路域土壤生态环境,解决植被恢复是关键[36],建议结合海南热带雨林国家公园高速公路穿越段现有植被组成和空间分布进行恢复,增加乔木的物种多样性,特别是对重金属有富集作用的植物,恢复林下灌木层、草本层,减少道路源重金属进入土壤。
高速公路在每次降雨后形成的道路径流通常含有多种重金属污染物[37]。海南岛雨季的降雨量大,易形成路面径流,携带高浓度污染物进入土壤、河流和水域,其污染物含量高于自然水平,这可能会改变土壤、农田、水生植物、浮游植物和底栖生物群落的结构和功能,威胁到生态系统、农业生产及人类健康。为降低道路径流对路基地面的冲刷和减轻污染物的蔓延,应尽快修建和修复高速公路穿越段的道路径流引流管道和导流渠,将道路径流汇聚在水塘或人工湿地进行集中储存与净化处理(植物吸收、基质吸附、微生物降解)[38-39]之后,再排放到周边环境以降低重金属对海南热带雨林国家公园的潜在影响[5]。
建议在路网交叉口、重要水源地等关键节点设立长期监测样点,科学有效地监测土壤、水域及植被动态变化,即时掌握生态系统结构功能和动态特征,降低土壤重金属长期累积与迁移对局域水质和植被的威胁,保障国家公园生态安全及周边居民与农业生产安全[5,12]。
-
本研究对海南热带雨林国家公园高速公路(G9811)穿越段两侧的土壤重金属进行了研究,发现土壤重金属含量总体上随着距离高速公路的远近,呈现先增加后降低的趋势,峰值出现在高速公路0~10 m的范围。土壤重金属以什运和毛阳路段Cr和Ni累积量最高,但含量均较低,整体生态风险较小。土壤Cr的主要来源为交通排放,Pb、Cu、Zn主要受成土母质影响,Ni则同时来源于成土母质和交通排放。
虽然当前的海南热带雨林国家公园高速公路穿越段土壤重金属生态风险较低,但Cr和Ni呈现出逐渐累积的趋势。建议加强高速公路穿越段的植被恢复与管理、完善道路径流收集处理措施,以降低重金属的扩散。同时,需重点监测高速公路跨越昌化江路段等生态敏感及脆弱点的动态,防范重金属污染河流及周边植被、水体及农地作物生产,保障高速公路穿越段两侧土壤及水体生态安全和海南热带雨林国家公园高质量建设。
Risk assessment of soil heavy metals in the expressway section crossing Hainan Tropical Rainforest National Park
DOI: 10.15886/j.cnki.rdswxb.20250136
- Received Date: 2025-11-20
- Accepted Date: 2026-01-05
- Rev Recd Date: 2025-12-23
-
Key words:
- tropical rainforest /
- road runoffs /
- soil heavy metals /
- distribution pattern /
- ecological risk
Abstract: Hainan Tropical Rainforest National Park is the only national park in China with an expressway traversing the Park. To reveal possible potential impacts of the expressway section crossing the National Park, three sites (Zayun, Maoyang, Fanyang) along the expressway section were selected to determine the soil heavy metal (Cr, Ni, Pb, Cu and Zn) contents and analyze the distribution pattern of the heavy metals on both sides of the expressway section. The main sources and affecting factors of each heavy metal were also examined. The results showed that Cr and Ni were the main heavy metals with the highest accumulative rate in the soil, particularly at Zayun and Maoyang, where the soil Cr content exceeded that of the control by 100% and 83.33%, respectively. Soil heavy metal content showed a decreasing trend with increased distance from the expressway or an increasing and then decreasing trend, with the peak appearing within 0-10 m from the expressway. The Geo-accumulation Index showed that the soil Cr, Ni and Zn were at the level of non-pollution or low pollution and thus the overall ecological risk was low. The main source of the soil Cr was traffic emission, while the soil Pb, Cu and Zn were mainly affected by the parent material, with the soil Ni showing mixed sources. All these results suggested that the current ecological risk of soil heavy metal along the expressway section was low, but the soil Cr and Ni were gradually accumulated in the soil near the expressway. It is recommended to strengthen the vegetation restoration and management of the expressway section, to improve the measures for collection and treatment of the expressway runoffs, and to focus on monitoring the dynamics at ecological sensitive sites such as Changhua River, which are crucial for preventing the potential accumulation and migration of soil heavy metals and to ensure the ecological security and high-quality construction of Hainan Tropical Rainforest National Park.
| Citation: | Zhang Yi, Yao Xiaolan, Ren Mingxun. Risk assessment of soil heavy metals in the expressway section crossing Hainan Tropical Rainforest National Park[J]. Journal of Tropical Biology. doi: 10.15886/j.cnki.rdswxb.20250136 |




DownLoad: