Message Board

Respected readers, authors and reviewers, you can add comments to this page on any questions about the contribution, review, editing and publication of this journal. We will give you an answer as soon as possible. Thank you for your support!

Name
E-mail
Phone
Title
Content
Verification Code
Turn off MathJax
Article Contents

Han Xiaolong, Wu Mingyue, Luo Feng, Liu Yong, Zou Xiang, Lin Yingtao, Xie Wen, Kong Xiangyi. Survey of pest species in pepper fields and the relationship between Thrips population dynamics and meteorological factors in Sanya, Hainan[J]. Journal of Tropical Biology. doi: 10.15886/j.cnki.rdswxb.20250131
Citation: Han Xiaolong, Wu Mingyue, Luo Feng, Liu Yong, Zou Xiang, Lin Yingtao, Xie Wen, Kong Xiangyi. Survey of pest species in pepper fields and the relationship between Thrips population dynamics and meteorological factors in Sanya, Hainan[J]. Journal of Tropical Biology. doi: 10.15886/j.cnki.rdswxb.20250131

Survey of pest species in pepper fields and the relationship between Thrips population dynamics and meteorological factors in Sanya, Hainan

doi: 10.15886/j.cnki.rdswxb.20250131
  • Received Date: 2025-10-11
  • Accepted Date: 2026-01-23
  • Rev Recd Date: 2025-10-28
  • To clarify the species composition of major pests in pepper fields in Sanya, Hainan, and the relationship between thrips population dynamics and meteorological factors, a systematic survey of pest species and thrips population dynamics was conducted during the pepper growing season from November 2024 to May 2025, and their association with key meteorological factors was analyzed. The results showed that the dominant pests in Sanya pepper fields were thrips, with Thrips palmi and Frankliniella intonsa being the dominant species. Thrips pests occurred at all the growth stages of pepper, but their population dynamics exhibited distinct growth stage-specific differences: the seedling stage was a low-incidence period, and the flowering and fruit-setting stages were the peak population period, during which the number of F. intonsa significantly exceeded that of T. palmi. The damage decreased during the flowering and harvesting stages, and by the end of the survey, T. palmi once again became dominant. Correlation analysis indicated that meteorological factors during the flowering and fruit-setting stages had a significant influence on thrips population numbers, showing significant positive correlations with average temperature, minimum temperature, average surface temperature, daily maximum/minimum surface temperature, and maximum humidity. All these findings reveal the pest species composition, dominant pest populations, dynamics of dominant thrips pests, and the key influence of meteorological factors on thrips population dynamics in pepper fields, providing a scientific basis for the precise monitoring and formulation of control strategies against thrips pests in pepper fields in the Sanya region.
  • 加载中
通讯作者: 陈斌, bchen63@163.com
  • 1. 

    沈阳化工大学材料科学与工程学院 沈阳 110142

  1. 本站搜索
  2. 百度学术搜索
  3. 万方数据库搜索
  4. CNKI搜索

Article views(121) PDF downloads(0) Cited by()

Proportional views
Related

Survey of pest species in pepper fields and the relationship between Thrips population dynamics and meteorological factors in Sanya, Hainan

DOI: 10.15886/j.cnki.rdswxb.20250131

Abstract: To clarify the species composition of major pests in pepper fields in Sanya, Hainan, and the relationship between thrips population dynamics and meteorological factors, a systematic survey of pest species and thrips population dynamics was conducted during the pepper growing season from November 2024 to May 2025, and their association with key meteorological factors was analyzed. The results showed that the dominant pests in Sanya pepper fields were thrips, with Thrips palmi and Frankliniella intonsa being the dominant species. Thrips pests occurred at all the growth stages of pepper, but their population dynamics exhibited distinct growth stage-specific differences: the seedling stage was a low-incidence period, and the flowering and fruit-setting stages were the peak population period, during which the number of F. intonsa significantly exceeded that of T. palmi. The damage decreased during the flowering and harvesting stages, and by the end of the survey, T. palmi once again became dominant. Correlation analysis indicated that meteorological factors during the flowering and fruit-setting stages had a significant influence on thrips population numbers, showing significant positive correlations with average temperature, minimum temperature, average surface temperature, daily maximum/minimum surface temperature, and maximum humidity. All these findings reveal the pest species composition, dominant pest populations, dynamics of dominant thrips pests, and the key influence of meteorological factors on thrips population dynamics in pepper fields, providing a scientific basis for the precise monitoring and formulation of control strategies against thrips pests in pepper fields in the Sanya region.

Han Xiaolong, Wu Mingyue, Luo Feng, Liu Yong, Zou Xiang, Lin Yingtao, Xie Wen, Kong Xiangyi. Survey of pest species in pepper fields and the relationship between Thrips population dynamics and meteorological factors in Sanya, Hainan[J]. Journal of Tropical Biology. doi: 10.15886/j.cnki.rdswxb.20250131
Citation: Han Xiaolong, Wu Mingyue, Luo Feng, Liu Yong, Zou Xiang, Lin Yingtao, Xie Wen, Kong Xiangyi. Survey of pest species in pepper fields and the relationship between Thrips population dynamics and meteorological factors in Sanya, Hainan[J]. Journal of Tropical Biology. doi: 10.15886/j.cnki.rdswxb.20250131
  • 辣椒(Capsicum annuum L.)是我国重要的蔬菜作物,在海南省热带农业产业中占据重要地位[1-2]。三亚市作为我国重要的冬季蔬菜生产基地,其辣椒是冬种瓜菜的重要品种之一,2023年全省辣椒种植面积达47861公顷,占当年海南蔬菜种植面积的17.4%[3],其安全生产对保障我国冬季蔬菜供应至关重要。三亚市属热带季风海洋性气候,年均温达25.4℃,年降水量达1347 mm[4],高温多雨的环境条件极易引发农业生态系统中害虫种群结构的演替[5]。然而,目前针对三亚地区辣椒田间危害害虫的系统调查尚显不足,尤其缺乏对优势害虫种群动态及其影响因子的深入解析。因此,系统开展辣椒害虫优势种群监测,明确害虫发生规律及制定防控策略具有重要意义。

    辣椒在生产过程中易遭受多种害虫危害,其中蓟马(缨翅目Thysanoptera)是主要类群之一。该类害虫个体微小、繁殖周期短、世代重叠严重、隐匿性强,可通过锉吸汁液直接危害辣椒,导致辣椒叶片枯萎和花朵凋落[6];还可传播多种植物病毒(如番茄斑萎病毒Tomato spotted wilt orthotospovirus, TSWV),引起辣椒产量下降、果实品质受损,严重时甚至造成绝收,对辣椒安全生产构成严重威胁,从而造成巨大的经济损失[7-8]。因此,开展蓟马种群监测预警显得尤为必要。研究表明,气象因子是影响蓟马种群动态的关键环境因素,温度、湿度、风速等均可显著调节其发育速率、繁殖能力、迁飞行为及传播效率[9-10]。国内外关于气象因素对蓟马种群数量动态影响有所报道[11-12],但不同地理和气候环境下蓟马对气象因子的响应存在明显差异。目前,关于热带滨海地区如三亚的辣椒蓟马种群动态与气象因子关系的研究尚未见报道,相关预测模型与防控依据仍属空白。因此,明确其间关系,对预测发生高峰期、构建精准防控体系具有重要指导意义。

    为明确三亚地区辣椒田主要害虫种类组成、优势种群发生规律及其与关键气象因子的关系,本研究于2024~2025年,在三亚市辣椒主产区设立4处标准试验样地,通过系统监测样点,开展害虫群落定点调查。研究内容重点监测蓟马类害虫的种群动态,并结合气象数据分析温度、湿度、降雨等因素对其种群波动的影响。研究成果旨在明确以三亚为代表的热带滨海地区辣椒主要害虫种类、优势种及其种群动态变化规律,揭示关键环境因子对辣椒蓟马种群动态的作用机制,为热带地区辣椒害虫的监测、蓟马种群发生预测及绿色防控提供理论依据和实践支撑,保障冬季蔬菜生产安全。

    • 试验用黄色、蓝色诱虫板,均购自中捷四方生物科技股份有限公司,尺寸为25 cm×23 cm,厚度为0.03 cm,产品执行标准为 GB/T24689.4-2009,双面均匀涂抹环保型胶。

    • 调查地点选择在海南省三亚市崖州区,调查点详细信息见表1。四块试验田种植品种均为‘博辣5号线椒’(湖南兴蔬种业有限公司),均采用地膜覆盖、双行单株种植、正常肥水管理。农户常规施用杀虫剂(2,3,4田块)有啶虫脒、甲氨基阿维菌素苯甲酸盐、烯啶.呋虫胺、联肼.乙螨唑、甲氨基阿维菌素苯甲酸盐、螺虫·噻虫啉、螺虫乙酯、敌敌畏等,平均7~14 d施药1次。

      调查点
      Treatment
      杀虫剂施用情况
      Pesticide application status
      调查时间
      Survey period
      经纬度
      Coordinates
      面积/公顷
      Area/ha
      1不施用杀虫剂
      No pesticide
      2024-12-09~2025-01-2718°23′13.9″N,109°9′26.0″E0.129
      2常规施用杀虫剂
      Conventional pesticide
      2024-12-09~2025-04-0718°23′15.5″N,109°9′30.0″E0.062
      3常规施用杀虫剂
      Conventional pesticide
      2024-11-25~2025-04-0718°24′2.0″N,109°10′57.6″E0.128
      4常规施用杀虫剂
      Conventional pesticide
      2024-11-25~2025-04-0718°36′15.2″N,109°10′18.1″E0.141

      Table 1.  General conditions of the experimental field

    • 于2024年11月至2025年5月三亚辣椒主要种植期进行调查(表1),均在辣椒移栽定植后7 d后开始调查。调查点3和调查点4(常规施用杀虫剂)辣椒田块于2024年11月25日至次年4月7日进行调查,调查点2(常规施用杀)虫辣椒田块于2024年12月9日至次年4月7日进行调查,调查点1(不施用杀虫剂)辣椒田块因害虫为害导致植株提前死亡,故调查期为2024年12月9日至2025年1月27日。根据辣椒田间观察及文献[13]确定辣椒生育期,各调查点辣椒生育期划分见表 2

      调查点
      Site
      苗期
      Seedling stage
      开花现蕾期
      Flower budding stage
      开花挂果期
      Flowering and fruit setting stages
      开花采收期
      Flowering and harvesting stages
      12024-12-09~2025-01-062025-01-06~ 2025-01-27
      22024-12-09~2025-01-062025-01-06~ 2025-01-272025-01-27~2025-03-032025-03-03~2025-04-07
      32024-11-25~2024-12-232024-12-23~ 2025-01-132025-01-13~2025-03-032025-03-03~2025-04-07
      42024-11-25~2024-12-232024-12-23~ 2025-01-132025-01-13~2025-03-032025-03-03~2025-04-07

      Table 2.  Growth stage division

    • 采用色板诱集法进行调查,田间采用五点取样法选取5个调查点悬挂色板进行调查,每点插入两根竹竿,分别悬挂一片蓝色诱虫板和黄色诱虫板,悬挂高度始终高于辣椒植株顶点20 cm,使用铁丝绑定,每7 d调查一次,每次悬挂诱虫板24 h后调查统计板上诱集的害虫种类及数量,并将无法鉴定的昆虫浸泡在12.85 mol·L−1乙醇中带回实验室鉴定,直至辣椒无花无果。因蓝色诱虫板对蓟马类害虫的诱集效果显著优于黄色诱虫板[14-15],故本研究选用蓝色诱虫板数据用于蓟马种群动态分析。

    • 利用体式显微镜(尼康SMZ745T型号)参照韩运发主编的《中国经济昆虫志》和《中国昆虫生态大图鉴》对昆虫标本开展形态学方法鉴定[16-17],依据触角的形状和节数,前胸形状、刚毛数及长短,刚毛排列位置,中胸背板的网纹或刚毛排列,腹部背板的微梳毛等形态特征进行鉴别。无法鉴别的物种,通过请教相关专家进行鉴定,以确保鉴定结果的准确性。

    • 利用Berger-Parker优势度指数(d)评估昆虫群落中的优势种,其计算公式d=Ni/N,其中Ni表示单次调查中某种昆虫的个体数量,N为同期调查中所有昆虫的总个体数量。采用IBM SPSS Statistics 27.0进行相关分析,以探究蓟马类害虫种群动态与气象因子的关系,所采用的气象数据来源于三亚市热带农业科学研究院崖州区长期观测站的连续监测数据。所有统计图表均使用GraphPad Prism 9.0.2绘图软件制作。

    • 常规施用杀虫剂与不施用杀虫剂调查点的害虫种类基本相同(表3),均包含4目6科,但各点害虫的种类数量存在少许差异,如调查点1与调查点3的害虫种类数相同(13种),其中蓟马科占比最高均为6种,而半翅目种类占比次之;调查点2的物种数较低(12种),蓟马科仍为6种;调查点4物种数最高(14种),其蓟马科种类也最多(7种)。


      Order

      Family
      物种
      Species
      调查点
      Site
      不施用杀虫剂
      No insecticide
      常规施用杀虫剂
      Insecticide-treated
      1 2 3 4
      缨翅目
      Thysanoptera
      蓟马科
      Thripidae
      瓜蓟马
      Thrips palmi
      花蓟马
      Frankliniella intonsa
      普通大蓟马
      Megalurothrips usitatus
      褐翅蓟马
      Thrips fuscipennis
      黄胸蓟马
      Thrips hawaiiensis
      榕管蓟马
      Ficus leaf-galling thrips
      横纹蓟马
      Aeolothrips fasciatus
      - - -
      半翅目
      Hemiptera
      蚜科
      Aphididae
      桃蚜
      Myzu persicae
      棉蚜
      Aphis gossypii
      - - -
      粉虱科
      Aleyrodidae
      烟粉虱
      Bemisia tabaci
      柑橘黑刺虱
      Aleurocanthus woglumi Ashby
      叶蝉科
      Cicadellidae
      茶小绿叶蝉
      Empoasc pirisuga Matumura
      棉叶蝉
      Amrasca biguttula
      双翅目
      Diptera
      潜蝇科
      Agromyzidae
      美洲斑潜蝇
      Liriomyza sativae Blanchard
      鞘翅目
      Coleoptera
      叶甲科
      Coccinellidae
      黄曲条跳甲
      Phyllotreta striolat
        注:√ 表示该调查点存在该害虫(辣椒发育任何时期有就算有);- 表示该调查点不存在该害虫。
        Note: √ indicates detected(Occurrence at any development stage of the chili plant is considered positive); - indicates not detected.

      Table 3.  Major pest species in pepper fields

    • 不施用杀虫剂辣椒田(调查点1)苗期以瓜蓟马(优势度指数为1.133)为绝对优势种,开花现蕾期以桃蚜(0.434)和瓜蓟马(0.376)为优势害虫。而常规施用杀虫剂辣椒田的三个田块(调查点2、3、4)整个生育期基本以蓟马和烟粉虱发生为主,其中蓟马以瓜蓟马、花蓟马为优势种(表4),开花采收期偶有烟粉虱为优势种(调查点4)。

      生育期
      Growth stage
      调查点
      Site
      优势度
      Dominance
      物种
      Species
      优势度
      Dominance
      物种
      Species
      优势度
      Dominance
      物种
      Species
      苗期
      Seedling stage
      10.757 101S10.076 287S100.061 269S4
      20.657 657S10.140 636S40.075 602S10
      30.570 898S10.348 556S100.029 486S2
      40.468 197S10.271 932S100.090 449S2
      开花现蕾期
      Flower budding stage
      10.433 835S80.376 028S10.059 531S9
      20.792 117S10.073 852S20.050 398S4
      30.685 846S10.223 397S100.040 579S4
      40.462 057S10.399 07S100.045 912S4
      开花挂果期
      Flowering and fruit
      Setting stages
      1------
      20.414 561S20.384 969S10.104 933S10
      30.394 965S10.346 355S20.152 868S10
      40.388 912S20.341 856S10.177 893S10
      开花采收期
      Flowering
      and harvesting stages
      1------
      20.407 412S10.303 866S20.173 452S10
      30.288 505S10.210 268S20.065 744S12
      40.334 236S100.281 495S10.274 787S2
        注:S1瓜蓟马、S2花蓟马、S3普通大蓟马、S4褐翅蓟马、S5黄胸蓟马、S6榕管蓟马、S7横纹蓟马、S8桃蚜、S9棉蚜、S10烟粉虱、S11柑橘黑刺虱、S12茶小绿叶蝉、S13棉叶蝉、S14美洲斑潜蝇、S15黄曲条跳甲。
        Note: S1:Thrips palmi; S2:Frankliniella intonsa(Trybom); S3: Megalurothrips usitatus; S4:Thrips fuscipennis; S5:Thrips hawaiiensis(Morgan;,S6: Ficus leaf-galling thrips; S7:Aeolothrips fasciatus; S8: Myzus persicae(Sulzer); S9: Aphis gossypii,S10: Bemisia tabaci(Gennadius); S11: Aleurocanthus woglumi Ashby; S12: Empoasca pirisuga Matumura; S13: Amrasca biguttul,S14:Liriomyza sativae Blanchard,S15:Phyllotreta striolat(Fabricius).

      Table 4.  Dominance of pest species in pepper fields

    • 不施用杀虫剂辣椒田(调查点1)的瓜蓟马种群基数在苗期持续增长,于开花现蕾期(1月20日)达峰值(1145.8头/板)。相比之下,各常规施用杀虫剂点蓟马种群均呈先升后降趋势,出现多次高峰,高峰期基本集中于2月上旬至3月上旬(图1)。

      Figure 1.  Seasonal dynamics of T. palmi and F. intonsa in chili fields

      不施用杀虫剂辣椒田(调查点1)中瓜蓟马在整个生育期的数量高于花蓟马。而常规施用杀虫剂调查点蓟马种群优势结构呈现规律性时序更替,表现在12月至翌年2月上旬及3月下旬以后,瓜蓟马在种群中占据主导地位,尤其在1月至2月上旬优势极显著;2月中旬至3月中旬花蓟马数量反超,形成明显的种群优势转换。所有调查点蓟马种群均在3月末至4月初降至年度最低水平(97.6–227.4头/板)(图1)。

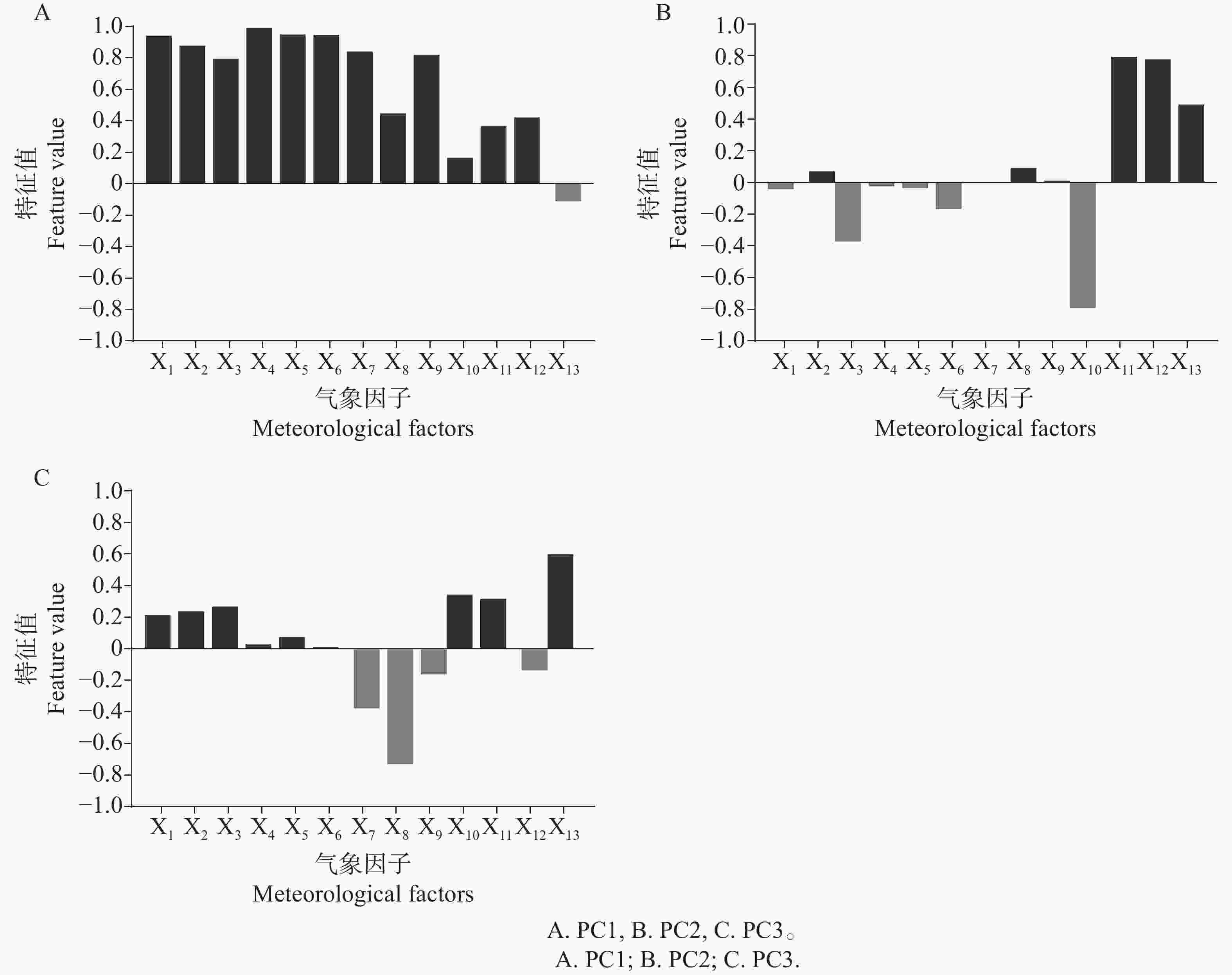
    • 对比数据发现,主成分分析方法可行(KMO ≥ 0.6且巴特利特检验P < 0.05),且PC1、PC2和PC3的累计方差贡献率为82.875%,其中PC1(温度因子相关)方差贡献率高达53.882%,是蓟马种群影响最为显著的气象要素(图2)。

      Figure 2.  Principal component analysis of meteorological factors.

      PC2特征值为2.290,与平均风速和极大风速呈正相关且系数最大,分别为0.794、0.778,表明PC2为风速和降雨量指标。PC3与最高相对湿度呈负相关且系数为−0.731数值较大,表明PC3为湿度指标。

    • 基于调查点1的植株死亡导致辣椒生育期数据不完整,不具备灰色关联度分析条件,继而选取常规施药田调查点2、3、4的完整生育期数据进行分析。灰色关联度分析结果表明,温度因子(最高气温、平均气温)与湿度对三处田块中蓟马种群数量的影响最为显著,而日平均降雨量在所有田块中均为影响最小的气象因子(图3)。

      Figure 3.  Grey relational analysis (GRA)between Thrips oopulation dynamics and meteorological factors.

      各调查点影响蓟马种群的关键气象因子存在差异,调查点2以最低气温影响最大(r=0.742),其次为日最低地表气温和最低相对湿度;调查点3同样要受最低气温主导(r=0.749),其次为最高和最低相对湿度;调查点4则以平均风速作用最为显著(r=0.721),日最大风速和最低地表气温次之(图3)。

    • 相关性分析结果显示,气象因子与蓟马种群数量的相关性在不同生育期存在差异。辣椒苗期不论施用或者不施用杀虫剂,温度(平均、最高、最低气温及地表温度)、湿度(平均、最低相对湿度)及风速(平均、极大风速)指标均与蓟马虫量呈负相关,其调查点2和3的最高气温与最高地表气温负相关性显著。开花现蕾期,最高与最低地表气温及平均、最低相对湿度也是负相关。至开花挂果期,所有温度、湿度及风速因子与蓟马数量转为显著正相关,尤其在调查点2田块的平均气温、地表气温及最高相对湿度与蓟马数量正相关显著,调查点4的日最低地表气温也显著正相关。开花采收期后,各点相关性出现分化,但调查点2田块中平均气温和日最高地表气温再度呈现显著的负相关关系(图4)。

      Figure 4.  Relationship between Thrips population dynanics and meteorological factors in chili fields.

    • 本研究系统调查了海南三亚地区辣椒田间主要害虫种类、优势种群结构及蓟马类害虫的种群动态变化,重点探讨了气象因子对蓟马发生规律的影响。结果表明,无论施药与否,蓟马均为三亚辣椒田最主要的害虫类群,瓜蓟马和花蓟马为优势种,与前人研究基本一致。例如赵海燕[18]等对海南茄子 (Solanum melongena L.)田昆虫群落结构的研究表明,同属茄科的茄子其优势害虫为瓜蓟马,与本研究结果一致。程春喜[19]在海南南部地区瓜菜蓟马危害调查中同样发现,茄科作物上蓟马优势种为瓜蓟马,其次为花蓟马和普通大蓟马,进一步验证了蓟马在热带茄科作物害虫组成中的关键地位。此外,张安盛[20]等的研究也表明山东日光温室菜椒上的重要害虫同样为瓜蓟马。相比之下,蒋兴川[21]等报道云南不同生态区辣椒花期蓟马种类以西花蓟马(Frankliniella occidentalis)、花蓟马、黄胸蓟马、瓜蓟马、烟蓟马(Thrips tabaci)和八节黄蓟马(Thrips hawaitensis)为主。穆常青[22]等则报道,北京地区温室彩椒上西花蓟马的危害日益严重。本研究所显示的海南三亚辣椒田间害虫组成差异,可能与当地气候条件、栽培模式及生态环境差异等因素有关。

      蓟马动态调查结果显示,未施药田块中瓜蓟马种群于苗期开始积累,逐渐升高,至开花现蕾期(1月20日)达到峰值(1145.8头/板)。常规施药田蓟马种群则呈多次波动,总体为先升后降趋势,高峰期集中于2月上旬至3月上旬。未施药田块由于缺乏化学防控干预,害虫种群持续繁殖,呈现明显的单峰型爆发趋势,最终导致植株严重受害甚至死亡;而常规施药田通过药剂干预在一定程度上抑制了种群连续增长,但因施药间隔、抗性发展及药剂持效期等因素,仍难以完全遏制种群复苏,仍出现多次种群在猖獗现象[23]。然而,本研究结果与已有文献报道存在一定差异。本研究中,施药田蓟马种群动态与辣椒生育期高度吻合,整体表现为苗期发生量较低,花期后出现多次高峰,且瓜蓟马与花蓟马在不同时期交替成为优势种。该结果与吴明月[24]等研究结论存在明显差异:其研究报道常规施用杀虫剂田块花蓟马在整个生育期内持续为单一优势种,未发生显著时序更替;而本研究发现蓟马优势种呈现规律的演替动态,开花现蕾期和挂果初期以瓜蓟马为主,开花挂果中期花蓟马数量上升达到高峰,至采收期瓜蓟马再次占据优势。这种差异可能源于气象条件和寄主品种的共同影响。从气象因子来看,本研究调查期间(2025年1月)日最低温度均值为17.2℃,且2025年2月仅出现一日降水;而而前人研究期间(2021年1月)日最低温度均值为13.5℃,其后续观测期(2022年2月)曾有五日出现降雨,这种温度与降水模式的差异可能直接影响蓟马的发育周期和种群动态。寄主品种方面,本研究采用的‘湘辣17号’与前人研究的‘博辣5号’线椒在植株形态、次生代谢物组成及抗虫性等方面存在遗传差异,这些品种特性可能进一步导致田间蓟马种群结构与数量发生显著变化。同时,本研究的动态变化可能与辣椒植株生理状态、营养供给以及蓟马生态习性可能存在相关联系[25]。本研究观测数据显示,各调查点植株于1月中旬至1月底由现蕾期陆续进入开花坐果期,田间花朵数量显著增加,蓟马种群数量呈现同步增长,其中花蓟马种群数量急剧上升并超越瓜蓟马成为优势种。这一物候变化与蓟马种群动态的同步性表明,田间花朵数量的增长与蓟马(特别是花蓟马)种群数量增长存在显著正相关。该结果与已有研究相互印证:花蓟马具有显著的访花习性,更倾向于聚集在花器丰富的生境中[27];开花期间的花器组织及幼果为蓟马提供了丰富的营养与繁殖场所,还可能通过释放特定信息素对其产生引诱作用,从而促进种群增长[26]。此外,其种群数量的显著增长可能与促进其聚集信息素的释放有关。李姣[28]等人的研究表明花蓟马聚集释放的信息素可能对瓜蓟马产生趋避效应,从而影响其种群时序格局,导致花蓟马在开花挂果期形成种群优势。至辣椒采收期,由于花器数量显著减少以及采收操作对田间隐匿环境的破坏,各调查田块中蓟马总体数量均呈现显著下降。然而,在调查末期观察到瓜蓟马在数量上出现反超花蓟马的趋势,推测其可能因具备更强的环境适应能力,并通过寄主转移等策略在一定程度上实现了种群恢复,但二者均维持较低水平。

      气象因素对蓟马类害虫的种群动态具有显著调控作用。通过主成分分析、灰色关联度分析及相关性分析均表明,温度和湿度是影响蓟马种群动态的关键气象因子。本研究在开花挂果期发现多项温度指标与蓟马数量呈显著正相关,与韩冬银[5]等在海南芒果园研究中提出的温度是影响芒果蓟马种群数量动态的最主要气象因素的结论相印证。同时,有研究表明瓜蓟马成虫产卵适温区是20-30℃,其中25℃下成虫的平均产卵量及产卵率值均达最大,瓜蓟马卵期及若虫期的发育速率随温度的升高而加快,发育历期随温度升高而缩短[9]。苗期前期温度较高(>25℃)且日较差大(2~9℃),而开花现蕾期日均温稳定在20~25℃,温度日较差收窄至约5℃,这种温度日较差的阶段性差异可能是导致不同生育期气象因子与蓟马种群数量相关方向发生转变的重要环境原因。湿度也是显著影响蓟马种群的关键因素。Moraiet[29]等研究表明蓟马种群动态与相对湿度显著负相关,而Selvaraj[12]等则认为西花蓟马种群动态与相对湿度显著正相关,这种差异可能源于不同地区湿度变化特征的差异。本研究显示,湿度变化特征对蓟马种群动态具有显著影响。苗期湿度日变幅较大(10%~20%),蓟马种群数量与湿度呈负相关;至开花挂果期,湿度日变幅收窄至3%~10%,湿度与种群数量转为正相关,表明稳定的湿度环境更有利于蓟马种群建立。

      此外,不同调查点的主导气象因子存在一定差异,如点2以最低气温影响最大,点3受最低气温和湿度共同作用,点4则以风速为主导因子,反映出小气候差异及田间管理措施对气象—害虫关系的调节作用。因此,在构建蓟马发生预测模型时,需结合当地气象特征及田间实际情况进行参数优化,以提升预报准确性。

      综上所述,基于本研究对蓟马种群动态规律及其影响机制的解析,建议在海南三亚地区辣椒蓟马防控中建立以物候期为基础、气象预警为补充的综合防控体系。具体而言,应重点加强开花现蕾期至坐果期(2月上旬至3月上旬)的防控力度,此阶段花器资源丰富且温湿度条件适宜,蓟马种群数量呈现快速上升趋势,特别是花蓟马在此时期形成显著的种群高峰。当出现日均温持续于20~25℃区间、湿度日变幅小于10%的气象条件时,需及时启动应急防控措施,因此建议建立基于区域气象监测网络的蓟马发生风险预警机制。同时,应根据不同生育期的优势种演替规律采取差异化防控策略:开花前重点防控瓜蓟马,花期着重控制花蓟马,采收前期需防范瓜蓟马种群的恢复性增长。此外,还应考虑不同田块的小气候特征,针对高温区、高湿区和通风区等不同生境制定相应的防控方案,以提升区域整体防控效果。

    • 本研究系统调查了海南三亚辣椒田间害虫优势种及动态变化,明确了辣椒田间主要害虫有4目6科15种,其中缨翅目蓟马类害虫为最主要危害类。在蓟马类害虫中,瓜蓟马和花蓟马为优势种,但其种群优势随辣椒生育期变化而变化(开花挂果期以花蓟马为主,其他生育期则以瓜蓟马占优)。整个生育期内,蓟马种群动态呈多峰型变化,高峰期出现在2月上旬至3月上旬。种群数量受气象因子的显著影响,其中温度和湿度是本研究监测期间蓟马种群动态变化的关键气象因子。开花挂果期温度与蓟马数量呈显著正相关,温度日较差收窄至5℃及湿度日变幅低于10%的稳定环境显著促进种群建立。本研究结果不仅阐明了热带地区辣椒害虫的发生规律及其关键驱动因素,还为制定基于生育期的精准防治策略提供了理论依据,对保障我国冬季辣椒安全生产具有重要指导意义。

Reference (29)
WeChat followshare

Top

Catalog

    /

    DownLoad:  Full-Size Img  PowerPoint
    Return
    Return